रायगढ़

Raigarh News: रायगढ़ पुलिस महकमे में बड़ा फेरबदल; SSP ने जारी किया आदेश, 219 पुलिसकर्मियों के प्रभार बदले

 

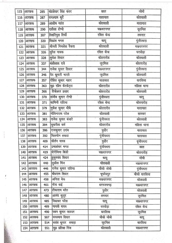
रायगढ़। रायगढ़ जिले में कानून व्यवस्था को और अधिक मजबूत करने के लिए वरिष्ठ पुलिस अधीक्षक ने बड़ा कदम उठाया है। प्रशासनिक दृष्टिकोण से जिले के 219 पुलिस अधिकारियों और कर्मचारियों के तबादले किए गए हैं। इस संबंध में कार्यालय उप पुलिस महानिरीक्षक एवं एसएसपी शशि मोहन सिंह रायगढ़ द्वारा आधिकारिक आदेश जारी कर दिया गया है।

जारी आदेश के मुताबिक, जिले के विभिन्न थानों और चौकियों में तैनात पुलिसकर्मियों को तत्काल प्रभाव से उनके नए पदस्थापना स्थल पर कार्यभार ग्रहण करने के निर्देश दिए गए हैं। यह फेरबदल पुलिसिंग में कसावट लाने और कामकाज को अधिक प्रभावी बनाने के उद्देश्य से किया गया है।

 आदेश की कॉपी…









IMG-20240424-WA0003
previous arrow
next arrow

raigarh top news

www.raigarhtopnews.com दैनिक हिन्दी न्यूज वेबसाईट है और रायगढ़ जिले का सर्वाधिक लोकप्रिय व सबसे ज्यादा पढ़ा जाने वाला न्यूज वेबसाईट है। www.raigarhtopnews.com पूरे छत्तीसगढ़ प्रदेश व रायगढ़ जिले की शासकीय व अर्द्धशासकीय योजनाओं के साथ सभी खबरों को प्राथमिकता के साथ प्रसारित करने में अपना महत्वपूर्ण योगदान देता है।
Back to top button